Contact us Heritage collections Image license terms
HOME ACL ACD C&A INF SE ENG Alvey Transputers Literature
Further reading □ OverviewContents1. Summary2. Terms of reference and method of working3. Background4. Problems5. Board submissions and user's views6. Options and Comments7. Conclusions and RecommendationsA. Statistical data on SERC computingB. Submissions from Boards etcC. Case for supercomputer
CCD CISD Harwell Archives Contact us Heritage archives Image license terms

Search

   
InformaticsLiteratureReportsCRWP
InformaticsLiteratureReportsCRWP
ACL ACD C&A INF CCD CISD Archives
Further reading

Overview
Contents
1. Summary
2. Terms of reference and method of working
3. Background
4. Problems
5. Board submissions and user's views
6. Options and Comments
7. Conclusions and Recommendations
A. Statistical data on SERC computing
B. Submissions from Boards etc
C. Case for supercomputer

A. Statistical data on SERC Computing

Information on computing systems provided by SERC and related data

This appendix contains some relevant data on computing provision by SERC. Figure 1 gives a summary of SERC installed' computing equipment at January 1984 including both central and distributed systems.

1. Central Systems

Figure 2 gives some historical information on the central systems provided by SERC. The actual and inflation corrected costs are given as well as the power (in MIPS) of the systems.

Figure 3 shows the information in graphical form and clearly shows the rapid growth in both computer power and disc capacity. The inflation corrected capital cost of the installed systems has decreased by a factor of 10 while the installed power has increased by a factor of 100.

Figure 4 shows the same information as the cost per MIP installed in real terms the cost has decreased by a factor of 1000 in 20 years which is an improvement by a factor of 1.41 per year.

2. Distributed Systems

Figure 5 gives in tabular form the distributed systems installed by the Boards for different years.

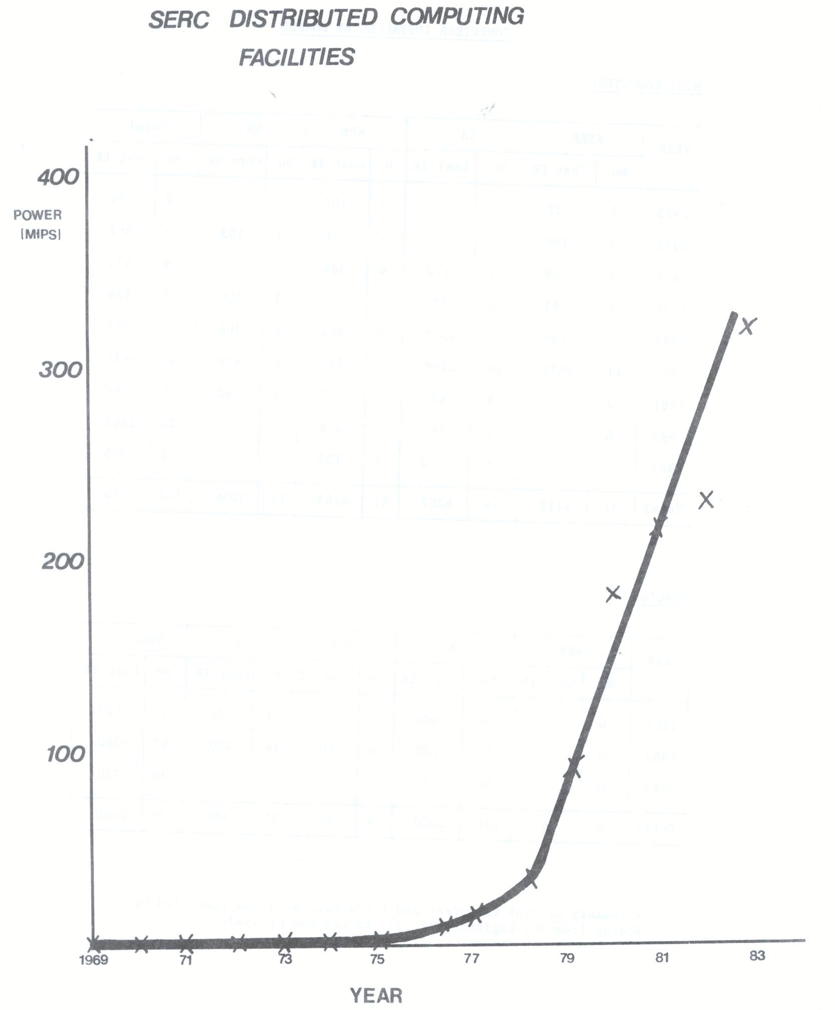
Figure 6 shows the total power of distributed systems installed as a function of time showing the very rapid growth from 1978.

Figure 7 shows the ratio of power distributed to that provided centrally. Until 1976 there was more power centrally but now there is an order of magnitude more power distributed than that provided centrally.

3. Software costs and support staff

Figure 8 shows the inflation corrected costs of software support for central systems. These costs have increased slowly due to increases of charges for software - the staff costs have been approximately constant at about £0.5M per year. The current total cost of about £1M per year now exceeds hardware costs - it is now equivalent to the capital cost of a 6 MIP system. It is clear that in future software costs will dominate over hardware costs.

Figure 9 gives information on the number of SERC staff used to provide support for the central and distributed systems provided by SERC. In nine years the support staff has reduced by 30% (from 233 to 166) while the number of systems supported has increased by a factor of 30 and their power by a factor of 28.

4. Users of SERC centrally supported systems

Figure 10 gives information on the number of users of systems centrally supported by SERC. A breakdown between Boards is given. The total number is now 5550 and has increased by a factor of 5 in 10 years.

Equipment Capital Cost £M Date Installed Funding Source Power (MIPS)
NAS 7000 * 1 1981 CCC 3
IBM 3081 ** 3 1982 CCC 10
ATLAS 10 2 1983 CCC 15
MINIS (32) 4 1975-83 ASRB 15
MINIS (135) 6 1977-81 EB 23
MINIS (45) 4 1975-83 NPB 19
MINIS (36) 1 1976-83 SB 4
PERQs (140) 3 1982-83 EB (SB,CCC) 35
Figure 1: SERC Installed Equipment (Distributed and Central) at 1 January 1984

* includes estimate of £O.5M for existing peripherals

** includes estimate of £1M for existing peripherals

Summary of the SERC installed equipment (at Jan 1 1984) including both distributed and central systems. The costs are the original costs at the time of purchase.

Year Machine Power (MIPS) Cost at Installation (£M) Period of Use Inflation Corrected
to 1983/84 prices
Cost (£M)
RAL DL
1964 Atlas I 0.25 2.5 1964-1973 15.0
1967 IBM 360/75 0.75 * 2.5 1967-1972 17.1
1971 ICL 1906A 0.50 2.0 1971-1978 8.4
1971 IBM 360/195 5.00 3.4 1971-1983 14.2
1973 IBM 360/165 2.00 1.5 1973-1981 5.4
1976 IBM 360/195 5.00 1.8 1976-1983 3.8
1978 IBM 3032 2.50 1.5 1978-1983 2.6
1981 NAS 7000 3.00 0.5 1981- 0.6
1982 IBM 3081 10.00 2.0 1982- 2.1
1983 Atlas 10 15.00 2.0 1983- 2.0
Figure 2: History of Central Systems Installed by SERC

* Rented at £0.5M p.a. over 5 years

Summary of the history of the Central systems hardware in terms of power and cost (both original and inflation corrected).

Figure 3

Figure 3
Full image ⇗
© UKRI Science and Technology Facilities Council

Historical summaries of central and distributed centrally supported computer systems (Daresbury and Rutherford Appleton) in terms of capital cost, power and disc storage. Capital cost is inflation correct to 1983/84 prices.

Figure 4

Figure 4
Full image ⇗
© UKRI Science and Technology Facilities Council
Year ASRB EB NPB SB Total
No Cost £K No Cost £K No Cost £K No Cost £K No Cost £K
1975 1 22 1 102 2 124
1976 3 289 4 170 2 103 9 562
1977 1 79 2 170 6 584 9 833
1978 1 93 3 323 3 108 7 524
1979 7 784 11 1302 9 972 8 304 35 3362
1980 11 2035 16 2198 7 725 7 479 41 5437
1981 2 250 9 833 8 1157 1 42 20 2282
1982 6 560 12 1281 5 428 23 2269
1983 1 100 1 105 2 205
Total 32 4112 54 6207 41 4243 21 1036 148 15598
Figure 5a: Computers Installed by Boards: Minicomputers
Year ASRB EB NPB SB Total
No Cost £K No Cost £K No Cost £K No Cost £K No Cost £K
1981 0 0 30 600 0 0 1 20 31 620
1982 0 0 35 700 4 80 14 280 53 1060
1983 0 0 36 720 0 0 0 0 36 720
Total 0 0 101 2020 4 80 15 300 120 2400
Figure 5b: PERQs

A summary of Mini Computers and PERQs purchased and installed by Boards from the beginning of 1975 to the end of 1983.

Figure 6: SERC Distributed Computing Facilities

Figure 6: SERC Distributed Computing Facilities
Full image ⇗
© UKRI Science and Technology Facilities Council

Figure 7: Ratio of Distributed Power / Central Power

Figure 7: Ratio of Distributed Power / Central Power
Full image ⇗
© UKRI Science and Technology Facilities Council

Figure 8: System Software Costs Versus Time

Figure 8: System Software Costs Versus Time
Full image ⇗
© UKRI Science and Technology Facilities Council
Year Operations User Support Software Admin Total No of Systems
Supported
Cost of
Support (£M)
Power of Systems
Supported
(MIPS)
1975 96 32 55 30 233 5 2.3 12
1978 97 28 48 12 185 30 2.5 38
1981 84 35 55 11 185 130 3.1 221
1984 70 31 57 8 166 151 3.3 336
Figure 9: Effort Breakdown for Central Systems in Man-Years
ASRB EB NPB SB Total
Total
1973 120 150 500 250 1150
1978 280 1450 720 600 3600
1983 350 2200 900 900 5550
IBM Only
1973 120 150 500 250 1150
1978 180 160 720 500 2000
1983 240 240 900 750 2500
Figure 10: Users by Board of Central and Distributed Facilities

Historical summary of the users, in each Board area, of the centrally supported systems (Daresbury and Rutherford Appleton).

⇑ Top of page
© Chilton Computing and UKRI Science and Technology Facilities Council webmaster@chilton-computing.org.uk
Our thanks to UKRI Science and Technology Facilities Council for hosting this site